文献解读|天津大学李铱副研究员团队《Journal of Hydrology》:砂岩CO2-H2O体系中残余水的形成:基于正交实验和核磁共振方法的综合研究

发布时间:2026-01-19 14:37

在CO2地质封存过程中,残余水对控制CO2在深层咸水含水层中的安全运移和封存起着至关重要的作用。本研究采用正交设计实验方法和结合核磁共振(NMR)技术的岩心驱替系统,以残余水饱和度(SW)为评价指标,研究了孔隙度(φ)、压力(P)和注入压差(ΔP)对残余水形成的影响机制。使用3个人工均质砂岩岩心(孔隙度:5%、10%、15%),共进行了11次岩心驱替实验(每次持续24小时以上)。结果表明,注入压差(标准化系数:-0.573)对残余水饱和度的影响最大,其次是孔隙度(0.572),而压力(-0.380)的影响最小。从定量上讲,较高的注入压差和压力会减少残余水,从而增加二氧化碳储存能力,提高封存安全性;相反,孔隙度的增加会提高残余水,从而可能限制储存效率。利用SPSS软件进行多元线性回归分析,得出残余水饱和度预测模型为:SW=0.782+1.206φ-0.04P-0.202ΔP。核磁共振技术的应用不仅从微观角度阐明了上述3个因素对残余水饱和度的影响机制,而且定量评估了岩心中不同孔径的水饱和度和残余水在不同孔径上的分布率。这种正交核磁共振集成建立了一个新的宏观微观研究框架,提供了参数控制和机理见解,在地下流动研究中具有广泛的适用性。

CO2地质封存是全球公认的实现CO2减排的关键技术,对实现“碳达峰”和“碳中和”目标至关重要。鉴于其地质结构,深部含盐含水层被广泛认为是长期CO2地质封存的最佳选择,与其他类型的深部地下封存相比,其CO2封存潜力最大。然而,在向含水层注入CO2之后,超临界CO2和地层盐水的多相流动动力学导致岩石孔隙内的残余水被毛细管捕获。砂岩中残余水的存在直接影响了CO2的封存能力,对实际的CO2地质封存项目提出了挑战。因此,深入探讨各种因素影响砂岩储层残余水形成的机制至关重要。

全球范围内已围绕残余水形成的影响因素开展了广泛研究。现有研究通过非稳态/稳态岩心驱替实验等多种方法,系统探究了砂岩等多孔介质中CO2与盐水的相互作用过程,明确了诸多关键因素对残余水饱和度的调控作用。具体而言,流体特性层面,CO2在盐水中的溶解行为、CO2/水粘度比及盐水浓度,均会显著影响残余水含量;驱替条件方面,注入流量、注入压力、注入方向及初始盐水饱和度,会改变残余水的形成与分布状态,其中较高初始盐水饱和度易导致注入过程中CO2捕获比例提升;介质属性上,岩石渗透率、润湿性、石英含量等固有特征,对残余水饱和度具有基础性影响;此外,温度条件及CO2在岩石孔隙中的空间分布均匀性,也被证实与残余水饱和度密切相关,如温度升高通常会使残余水饱和度增加,而CO2分布均匀时则可降低残余水饱和度。

尽管之前的研究讨论了影响残余水形成的各种因素,但对孔隙度、压力和注入压差影响残余水机制的研究仍然有限。同时,之前的研究主要集中在单个参数的宏观、孤立效应上。另一个显著的局限性是缺乏从核磁共振等技术中获得的孔隙尺度证据,这对于揭示控制残余水形成的多种因素的复杂作用至关重要。近年来,核磁共振(NMR)技术因其高分辨率、非破坏性、实时性能和定量分析的优点,已成为研究岩心驱替实验中流体分布、迁移行为和孔隙结构变化的有力工具。同时,正交实验法因其合理优化实验设计、有效提高研究效率和数据质量、节省时间和经济成本等优点,越来越受到专家学者的青睐。本研究采用正交实验和核磁共振技术相结合的方法,以孔隙度、压力和注入压差为影响因素,以残余水饱和度为评价指标。进行了9组正交设计的岩心驱替实验,以研究上述因素在微观尺度上对残余水形成的影响机制。在阐明孔隙度、压力和注入压差对残余水饱和度影响程度的同时,利用多元线性回归建立了残余水饱和度预测模型。此外,利用核磁共振技术定性分析和定量检查了岩心内不同孔径中水的迁移和赋存模式。研究结果为提高深层含盐含水层中CO2地质封存效率、帮助选择目标储层位置和降低工程应用成本提供了理论参考。

1.实验样品

本研究中使用的材料包括纯度为99.99%的CO2、去离子水和3个人工均质岩心。表1给出了3个人工岩心的详细信息。

表1 实验岩心信息

2.核磁共振岩心驱替实验

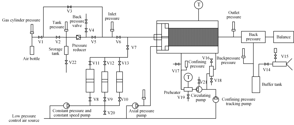
核磁共振岩心驱替实验采用苏州华体会官方网页版公司提供的MesoMR12-060H-I磁共振成像系统完成,装置示意图如图1所示。在驱替过程中,使用CPMG序列和HSE序列对岩心进行连续测试,获得驱替过程中不同时间含水岩心的T2光谱和MRI图像,实现驱替过程中水相迁移和产状的可视化表征。核磁共振岩心驱替实验流程如下:(1) 在正式实验之前,对核磁共振系统进行校准,以确保数据的准确性。系统的校准是通过将标准样品放置在岩心支架中进行的。运行自由感应衰减序列,优化射频脉冲功率和频率偏移,以获得最佳的自由感应衰减(FID)信号,从而确保横向弛豫时间(T2)测量的定量精度。随后,通过将样品定位在磁体等中心、执行Scout扫描和进行匀场来校准成像系统,以优化成像区域的磁场均匀性;(2) 接着将岩心样品在105℃的烘箱中干燥12小时,并测量其干重。然后通过施加20MPa的压力48小时使其饱和,以实现完全的水饱和,然后测量其饱和重量。使用校准的CPMG和HSE序列获得了完全饱和岩芯中的初始水分分布。然后施加12MPa的围压,并将温度设置为33℃以建立实验条件。在岩心下游端施加规定的压力,以模拟储层压力。(3) 在这些准备之后,使用增压泵将CO2气体加压至实验所需的注入压力,并在恒定的压差下注入岩心。通过跟踪岩心内的NMR信号强度实时监测驱替过程。CPMG和HSE顺序测量以1小时为间隔依次进行。当两次连续测量之间的信号强度差降至1%以下时,驱替过程终止,表明残余水饱和度已达到不可降低的状态。随后,取出岩心,并测量其最终重量。所有剩余的实验组都严格遵守这一相同的程序。

图1 核磁共振岩心驱替实验装置示意图

1.正交实验分析

1.1 正交实验结果

根据实验结果,绘制了岩心驱替实验结果的三维示意图,如图2所示。

图2 实验结果的三维示意图

1.2 影响因素的统计分析

对正交实验进行范围分析(图3),以评估每个因素对残余水饱和度的影响。根据范围(R)值的大小,结果表明,影响的顺序是:注入压力差>孔隙度>压力,范围(R值表示给定因素下残余水饱和度的最大和最小平均值之间的差异。此外,水平均值(k值,定义为与因子的每个水平对应的残余水饱和度的平均值)的比较表明,水平组合A1B3C1使残余水饱和度最小化。

图 3 正交实验结果的极差分析

方差分析(ANOVA)与极差分析一起用于评估因子显著性。虽然方差分析的F值(表2)表明孔隙度>注入压差>压力的影响层次,但没有因素具有统计学意义(p>0.05)。极差分析和方差分析之间的差异源于它们不同的方法论基础。范围分析根据影响大小(R值)的大小对因素进行排名,突出显示导致残余水饱和度最大绝对变化的参数,而方差分析通过将方差分量与实验误差进行比较来评估统计显著性(F和p值)。这种差异突显了这两种方法在识别具有实际影响和统计稳健性的影响因素方面的互补性。

表2 残余水饱和度的方差分析结果

基于正交实验结果,在两个假设下建立了多元线性回归模型:(1)其他因素对残余水饱和度的影响可以忽略不计,(2)实验室规模的岩心驱替实验代表了实际的二氧化碳地质封存项目。使用SPSS软件对孔隙度、压力、注入压差和残余水饱和度的数据进行分析,将后者设置为因变量,将前三个设置为自变量。因变量和自变量之间的一般关系由方程(1)定义。

采用SPSS软件对多元线性回归模型进行拟合度和线性关系分析。SPSS生成的模型汇总表如表3所示。

表3 德宾-沃森检验

在表3中,“R”具体表示回归模型的多元相关系数。根据表3,多元线性回归模型的拟合表明,自变量——孔隙度、压力和注入压差——解释了因变量——残余水饱和度80%的变化。这表明,残余水饱和度变化的80%受孔隙度、压力和注入压差的影响。表4显示了每个自变量对残余水饱和度的影响。非标准化系数(B)表示预测变量变化一个单位时因变量的实际变化。与每个系数相关的标准误差(S.E.)反映了其估计的精度,较小的值表示更高的可靠性。标准化系数(Beta)通过消除这些单位,可以比较预测器的相对重要性。t值及其相应的显著性水平(p值)检验了每个系数的统计可靠性。

表4 多元线性回归方程的系数

根据表4,回归分析表明,孔隙度对残余水饱和度有显著的正向影响(系数=1.206,p=0.035),而注入压差则有显著的负向影响(系数=-0.202,p=0.035)。相比之下,压力不是一个重要因素(p=0.115)。标准化系数表明,注入压差的影响最大,其次是孔隙度,压力的影响最小。95%置信区间表明,孔隙度和注入压差的区间不包括0,表明两者分别对残余水饱和度有显著的正向和负向影响;压力范围包括0,表示其影响不显著。从表7可以看出,通过多元线性回归分析得到的回归方程为方程(2)所示。

式中,y为残余水饱和度,x1为孔隙度,x2(MPa)为压力,x3(MPa)为注入压差。多元线性回归模型显示了令人满意的解释力(调整后的R2=0.80),具有统计学意义的预测因素;然而,它的统计稳健性受到两个明显的限制。首先,该模型受到L9正交阵列设计固有的有限样本量(n=9)的约束,该设计优先考虑筛选效率,但可能会影响参数估计的稳定性。其次,该模型没有考虑因素之间的潜在相互作用效应,因为它只关注估计主要效应。明确指出了这些局限性,以限定本研究结果的范围,而推进研究的详细建议将在结论部分详细阐述。

2.各因素对残余水饱和度的影响机制微观解析

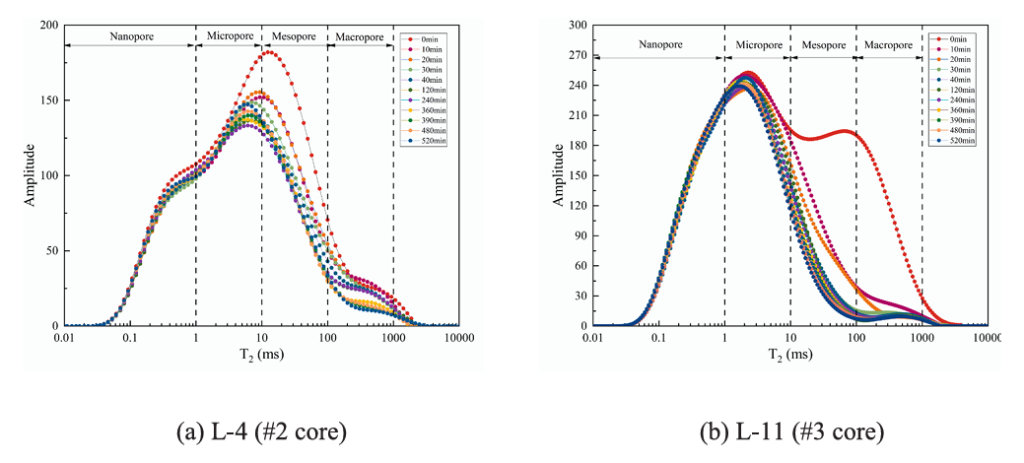
2.1 孔隙度对残余水饱和度的微观影响机制

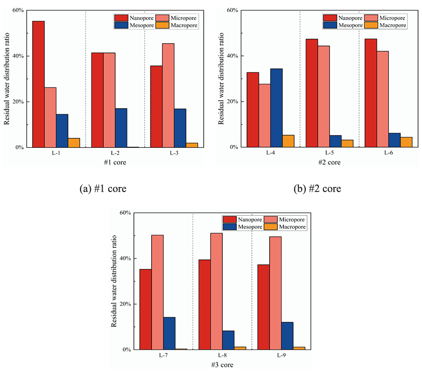
孔隙度是指岩心中孔隙体积占总体积的比例,通常以百分比表示,反映了岩石中可以容纳流体的空间大小。它是决定岩石储层储集能力和流体运移特征的关键参数。为了研究孔隙度对残余水的影响,在保持其他参数不变的情况下进行了补充实验L-11。实验结果如图4所示。图4通过实验L-4和L-11的对比分析,展示了孔隙度与残余水饱和度之间的正相关关系。这种现象源于孔隙尺度的动力学机制:当岩心孔隙度较高时,CO2倾向于在大孔和中孔中形成主要的渗流通道,从而绕过以毛细管力为主的微孔区域,使微孔中的水难以被有效驱替。在低孔隙度条件下,岩心缺乏明显的有利流动路径,对二氧化碳流动的阻力增加,使其能够更均匀地进入微纳尺度孔隙,从而提高微尺度驱替效率,最终导致残余水饱和度降低。孔隙度的增加增强了二氧化碳在大孔/中孔中的优先驱替(图5),使微孔区域(特别是在孔隙度较高的岩心中)排水不足。核磁共振监测显示,10%孔隙度岩心的微孔T2信号持续降低,而15%孔隙度试样的变化很小,这证实了高孔隙度岩心微孔中的水难以有效驱替。

图 4 L-4和L-11组残余水饱和度的比较

图 5 L-4和L-11组T2曲线的比较

压力是影响CO2地质储量和地下流体行为的重要因素。在CO2地质封存过程中,压力不仅决定了封存岩层的流体状态,而且对CO2的注入、运移和封存稳定性有直接影响。为了研究压力对残余水的影响,在保持其他参数不变的情况下进行了补充实验L-10和L-11。实验结果如图6所示。如图6所示,随着压力的增加,残余水饱和度降低,这验证了多元线性拟合得到的压力与残余水饱和度之间的负相关关系。如拉普拉斯方程(方程(3))所示。

式中,Pc(MPa)为毛细管入口压力,γ(mN/m)为CO2-H2O体系中的界面张力,(°)为接触角,R1(m)为多孔介质的有效孔隙半径。

升高的压力降低了CO2-水界面张力(方程式(3)),从而降低了毛细管入口压力并提高了小孔排水效率。核磁共振分析(图7)通过压力依赖性T2振幅降低证明了这一机制:#1岩心的纳米孔在9/10MPa时峰值降低了15.62/17.84,而#3岩心的微孔在8/10MPa时降低了13.47/14.04。核磁共振数据证明,压力增加有效地促进了水从纳米微米孔中的排出。不同孔隙度岩心变化的一致趋势进一步表明,压力通过调节界面性质显著优化了毛细管保水机制,这种现象在不同类型的孔隙中普遍存在。

图 6 L-2/L-10和L-11/L-9组残余水饱和度的比较

图 7 L-2/L-10和L-11/L-9组T2曲线的比较

2.3 注入压差对残余水饱和度的微观影响机制

注入压差是指岩心驱替实验中注入压力与背压(压力)之间的差值,是影响CO2流量和驱替效率的关键因素。为了研究注入压差对残余水的影响,在保持其他参数不变的情况下进行了补充实验L-10和L-11。实验结果如图8所示。

  图 8 L-3/L-10和L-11/L-7组残余水饱和度的比较

通过对L-10/L-3和L-11/L-7实验组的比较分析(图8),本研究揭示了注入压差与残余水饱和度之间存在显著的负相关关系。从孔隙尺度流体动力学的角度来看,增加注入压差可以提高孔隙系统内CO2的驱替能力,使其能够克服低渗透区的毛细管阻力阈值,并有效地调动在常规条件下保持不动的毛细管截留水。图9通过
L-11和L-7岩心的MRI成像进一步证明了这一机制,其中岩心径向上端和下端附近的渐进信号衰减与注入压差的增加相关,表明水驱替增强,残余饱和度降低。与L-7相比,L-11(注入压差较低)的MRI信号明显更强,直接验证了注入压差在控制残余水饱和度方面的作用。尽管低孔隙度岩心(L-3/L-10)的MRI分辨率有限,但一致的饱和度趋势支持这种孔隙尺度机制。这些发现与多元回归预测一致,证实了优化注入压差可以显著提高驱替效率,特别是在连通性较差的孔隙区域,从而为有效的二氧化碳地质封存提供了关键的理论支持。

图 9 L-11和L-7组MRI图像的比较

3.NMR分析

3.1 NMR-T2谱演化

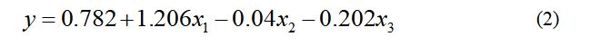
T2曲线动态表征了驱替过程中岩心水的分布/迁移。图10-12显示了九个正交实验(#1、#2、#3岩芯)的T2曲线。大于1000ms的信号(图10-12)表示饱和的管道残余水,而不是岩心内的残余水。 图10显示,在驱替过程中,1号岩心的大/中孔内的水分被迅速驱走,而微孔逐渐减少。纳米孔保持稳定的含水量,除了接近峰值T2值。图11-12显示,注入二氧化碳会导致2号岩心(类似于1号岩心)和3号岩心中的大/中孔迅速耗水,而微孔的减少幅度很小,纳米孔保持稳定。值得注意的是,3号岩心表现出加速的驱替动力学,在最初的10分钟内排出了50%以上的水。九次正交驱替实验的T2光谱表明,水迁移与孔隙结构密切相关。残余水主要占据微孔/纳米孔,由拉普拉斯方程(方程(3))解释:毛细管进入压力与孔隙半径成反比,需要更高的压力使二氧化碳侵入较小的孔隙以驱替水。

图 10 #1岩心驱替实验T2曲线

图 11 #2岩心驱替实验T2曲线

图12 #3岩心驱替实验T2曲线

3.2 不同孔径范围内水的迁移赋存

为了对不同孔径的水运移和赋存进行综合分析,利用驱替实验的初始T2曲线和驱替实验结束时的T2曲线计算了9个不同孔径正交设计驱替实验的含水饱和度,计算结果如图13所示。不同孔径的含水饱和度计算公式如方程式(4)所示。

其中R是不同孔径的含水饱和度,A1是驱替结束时T2曲线中纳米孔、微孔、中孔或大孔范围内的核磁信号总量,A2是初始T2曲线中的纳米孔、微孔、中孔、或大孔的核磁信号总量。

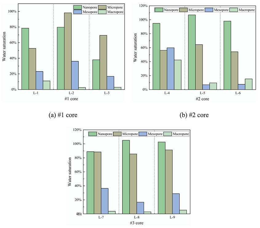
图13展示了九个正交实验中孔径依赖的水分布,纳米孔保持>80%的水饱和度,而大孔保持<10%的水饱和度。这种差异源于成反比的毛细管进入压力(方程式(3)),其中纳米级孔需要比大孔高3-5倍的置换压力。值得注意的是,实验L-5/L-8/L-9显示纳米孔饱和度>100%,揭示了二氧化碳驱替过程中显著的毛细管膨胀效应:当二氧化碳作为非润湿相进入大孔喉道时,产生的毛细管压差促使孔隙水自发迁移到具有更强毛细管力的纳米级孔隙。

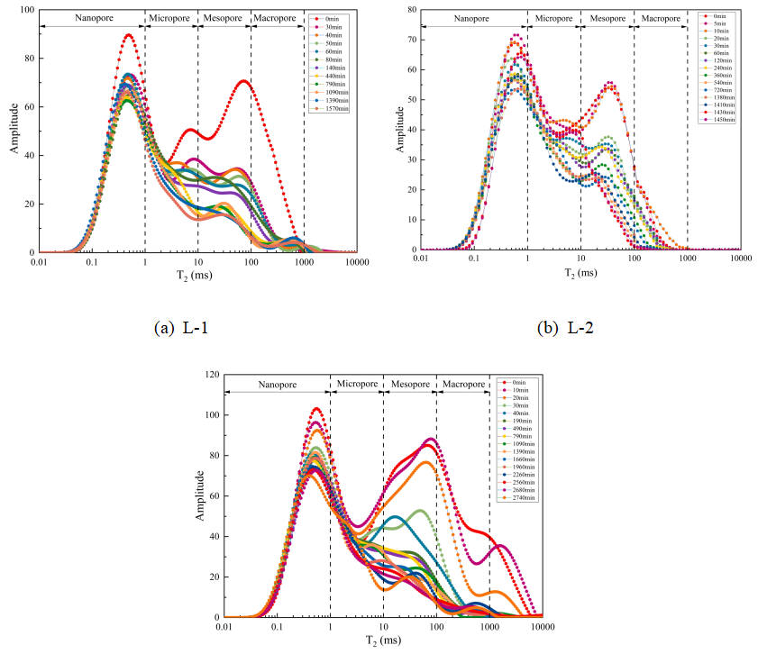
为了进一步分析驱替实验后不同孔径的残余水分布比例,利用驱替实验的初始T2曲线和驱替实验结束后的最终状态的T2曲线计算每组实验不同孔径的残余水分布比例,计算结果如图14所示。计算残余水分部比例的方程式(5)如下。

其中P是残余水分布比例,A1是驱替结束时T2曲线中纳米孔、微孔、中孔或大孔范围内的核磁信号总量,A3是驱替结束时T2曲线中所有孔的核磁信号总量。

从图14可以看出,在9组正交设计的岩心驱替实验中,残余水主要存在于纳米孔和微孔中,90%以上的残余水出现在纳米孔和微孔(L-8)中。除L-4外,不少于70%的残留水存在于纳米孔和微孔中。从图14可以看出,大孔中残留的水不到5%,这表明绝大多数水最终存在于纳米孔、微孔和中孔中。这表明,在不同的实验条件下,大孔仍然是二氧化碳驱水的主要区域,而纳米孔中的水很容易被二氧化碳气体堵塞和保留。因此,大孔隙比例高的岩心容易发生气窜,进而影响小孔隙中水的驱替。因此,图13和14表明,岩心的孔隙结构对捕获残余水的过程有重大影响。

图13 不同孔径的含水饱和度

图14 不同孔径的残余水分布比例

为了分析岩心驱替过程中的平面内水的迁移赋存,MRI可视化了二维水分布(图15-17)。低(蓝色)和高(红色)信号强度分别对应于含水量的降低和升高。MRI图像显示了CO2驱替过程中显著的空间异质性特征(图15-17)。低孔隙度#1岩心最初表现出微弱的MRI信号,在整个CO2驱替过程中逐渐衰减,直到与背景噪声无法区分,这最终证明MRI图像质量主要受孔隙空间中的含水量控制。与之形成鲜明对比的是,#2和#3岩心最初表现出均匀的水分分布,但在注入二氧化碳的过程中逐渐形成了明显的非均匀模式:由毛细管捕获引起的孤立水团和由毛细管末端效应引起的岩心出口积水。MRI图像中观察到的空间异质性对二氧化碳封存的安全性有重大影响。毛细管捕获的水团簇增强了残余相捕获,这可能会产生局部饱和度梯度。因此,确定该水团的分布模式对于定位剩余封存优势区和预测二氧化碳羽流滞留路径至关重要。出口处的毛细管端部效应表明,如果在现场模拟中没有适当考虑,实验室测量可能会高估剩余捕获效率。这些发现强调了在储层模型中考虑孔隙尺度非均质性的必要性,以更准确地预测二氧化碳羽流的长期迁移模式和捕获机制。

图15 #1岩心MRI图像

图16 #2岩心MRI图像

图17 #3岩心MRI图像

本文结论:

本研究通过岩心驱替实验研究了孔隙度、压力和注入压差对CO2-H2O流动和残余水饱和度的影响。通过将正交设计与核磁共振技术相结合,建立了一个预测模型,阐明了控制水迁移和分布的潜在机制,为多相流过程提供了关键见解。主要结论总结如下:

(1)使用SPSS软件建立多元线性回归方程:SW=0.782+1.206φ-0.04P-0.202ΔP。分析表明,注入压差的影响最大,其次是孔隙度,压力的影响最小。模型的可靠性和线性关系的显著性得到了统计证实。

(2)验证实验证实了模型预测的关系:残余水饱和度随着孔隙度的增加而增加,但随着压力和注入压差的增加而降低。这是因为较高的孔隙度增强了小孔中的保水性,而较大的压力降低了界面张力,较大的注入压差提高了波及效率,两者都增强了驱替过程。

(3)核磁共振分析表明,驱水效率受孔隙结构的控制。大孔中的水优先被驱替,而纳米孔和微孔则是主要的储存空间,容纳了高达90%的残留水。这一定量结果突显了从小孔中回收水的关键挑战。

本研究系统地阐明了孔隙度、压力和注入压差影响残余水形成的孔隙尺度机制,为解决地质储碳的实际挑战提供了关键见解。在处理天然储层的原位非均质性时,所揭示的孔隙尺度位移特征,如非均匀流体迁移模式,能够预测非均质地层中的二氧化碳羽流路径和捕获行为,同时促进孔隙结构分类框架的开发,以指导高度可变储层的选址和储能效率评估。对于实际的二氧化碳注入操作和监测,建立的多元回归模型为智能参数优化提供了理论基础,驱替终点处的残余水饱和度指标体系——结合孔径范围内的饱和度分布——为动态过程监测和性能评估提供了关键数据。在支持储层模型参数化时,正交实验得出的标准化系数作为模拟中相对渗透率曲线的加权因子,量化的孔隙尺度非均质性特征为孔隙网络模型的构建提供了信息,特别是在定义孔隙分布函数时。这些综合成果将微观机制与现场应用联系起来,显著提高了二氧化碳封存项目的可预测性和可靠性。

然而,这项研究仍有一定的局限性。首先,多元线性回归模型基于有限的正交实验样本量(n=9),没有考虑因素之间的相互作用效应,尽管模型外推适用于初步筛选,但可能会影响模型外推的稳健性。其次,本研究中使用的人工均质砂岩岩心不能完全复制天然储层的微观尺度非均质性和各向异性特征,这些特征发展出复杂的成岩特征和多尺度孔隙-裂缝系统,从而限制了将结果直接外推到现实地质条件。为了解决这些限制,未来的研究可以通过以下方式在现有发现的基础上进行:(1)采用响应面方法(RSM)扩大样本量,并尝试非线性多元回归模型来系统地量化相互作用效应。(2)利用天然岩心结合微CT和NMR技术进行对比实验,揭示地质形成的孔隙网络对残余水分布的影响。(3)实施现场规模的演示,将孔隙规模机制整合到储层模拟器中,从而在实际的碳储存场景中验证实验结论。

中尺寸核磁共振成像分析仪

[1] Yi Li, Wendong Dan, Yujie Diao, Li He, Ting Liu. Formation of residual water in sandstone CO2-H2O system: A comprehensive study based on orthogonal experiment and nuclear magnetic resonance method[J]. Journal of Hydrology, 2025, 666, 134842.

电话客服

电话:400-060-3233

售后:400-060-3233

微信客服
公众号
TOP

返回顶部